
核準日期:2007年1月31日
修改日期:2010年10月1日
2015年2月5日
2015年11月9日
2016年11月17日
2016年11月28日
2020年10月12日
2020年12月30日
鹽酸利多卡因注射液說明書
請仔細閱讀說明書并在醫師指導下使用。
【藥品名稱】
通用名稱:鹽酸利多卡因注射液
英文名稱:Lidocaine Hydrochloride Injection
漢語拼音:Yansuan
Liduokayin Zhusheye
【成分】
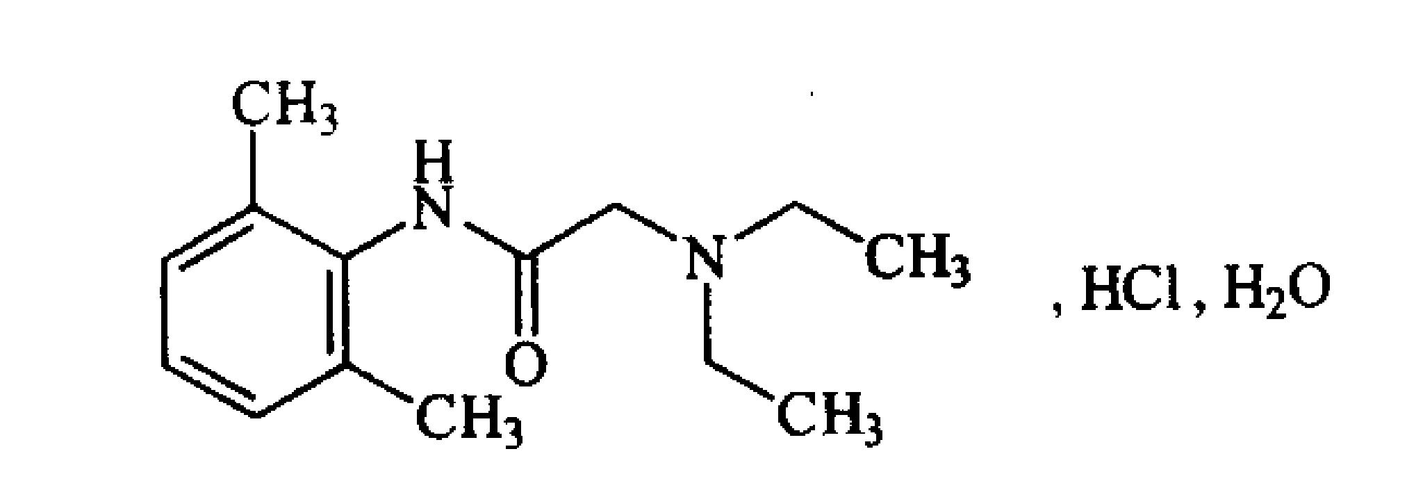
本品主要成份為鹽酸利多卡因,化學名稱:N-(2,6—二甲苯基)—2—(二乙氨基)乙酰胺鹽酸鹽一水合物。輔料為氯化鈉、注射用水。
結構式:
分子式:C14H22N2O.HCl.H2O
分子量:288.82
【性 狀】
本品為無色的澄明液體。
【適應癥】
本品為局麻藥及抗心律失常藥。主要用于浸潤麻醉、硬膜外麻醉、表面麻醉(包括在胸腔鏡檢查或腹腔手術時作黏膜麻醉用)及神經傳導阻滯。本品也可用于急性心肌梗死后室性早搏和室性心動過速,亦可用于洋地黃類中毒、心臟外科手術及心導管引起的室性心律失常。本品對室上性心律失常通常無效。
【規 格】5ml:0.1g
【用法用量】
1. 麻醉用
(1)成人常用量:
①表面麻醉:2%~4%溶液一次不超過100mg。注射給藥時一次量不超過4.5mg/kg(不用腎上腺素)或每7mg/kg(用1:200000濃度的腎上腺素)。
②骶管阻滯用于分娩鎮痛:用1.0%溶液,以200mg為限。
③硬脊膜外阻滯:胸腰段用1.5%~2.0%溶液,250~300mg。
④浸潤麻醉或靜注區域阻滯:用0.25%~0.5%溶液,50~300mg。
⑤外周神經阻滯:臂叢(單側)用1.5%溶液,250~300mg;牙科用2%溶液,20~100mg;肋間神經(每支)用1%溶液,30mg,300mg為限;宮頸旁浸潤用0.5%~1.0%溶液,左右側各100mg;椎旁脊神經阻滯(每支)用1.0%溶液,30~50mg,300mg為限;陰部神經用0.5%~1.0%溶液,左右側各100mg。
⑥交感神經節阻滯:頸星狀神經用1.0%溶液,50mg;腰麻用1.0%溶液,50~100mg。
⑦一次限量,不加腎上腺素為200mg(4mg/kg),加腎上腺素為300mg~350mg(6mg/kg);靜注區域阻滯,極量4mg/kg;治療用靜注,第一次初量1~2mg/kg,極量4mg/kg,成人靜滴每分鐘以1mg為限;反復多次給藥,間隔時間不得短于45~60分鐘。
(2)小兒常用量 隨個體而異,一次給藥總量不得超過4.0~4.5mg/kg,常用0.25%~0.5%溶液,特殊情況才用1.0%溶液。
2.抗心律失常:
(1)常用量 ①靜脈注射 1~1.5mg/kg體重(一般用50~100mg)作首次負荷量靜注2~3分鐘,必要時每5分鐘后重復靜脈注射1~2次,但1小時之內的總量不得超過300mg。②靜脈滴注 一般以5%葡萄糖注射液配成1~4mg/ml藥液滴注或用輸藥泵給藥。在用負荷量后可繼續以每分鐘1~4mg速度靜滴維持,或以每分鐘0.015~0.03mg/kg體重速度靜脈滴注。老年人、心力衰竭、心源性休克、肝血流量減少、肝或腎功能障礙時應減少用量,以每分鐘0.5~1mg靜滴。即可用本品0.1%溶液靜脈滴注,每小時不超過100mg。
(2)極量 靜脈注射1小時內最大負荷量4.5mg/kg體重(或300mg),最大維持量為每分鐘4mg。
【不良反應】
(1)本品可作用于中樞神經系統,引起嗜睡、感覺異常、肌肉震顫、驚厥、昏迷及呼吸抑制。
(2)可引起低血壓及心動過緩。血藥濃度過高,可引起心房傳導速度減慢、房室傳導阻滯以及抑制心肌收縮力和心輸出量下降。
【禁 忌】
(1) 對本品或其他局麻藥過敏者禁用。
(2) 阿-斯綜合征(急性心源性腦缺血綜合征)、預激綜合征、嚴重心臟傳導阻滯(包括竇房、房室及心室內傳導阻滯)患者禁靜脈給藥。
【注意事項】
(1) 麻醉用時,防止誤入血管,注意局麻藥中毒癥狀的觀察。
(2) 肝腎功能障礙、肝血流量減低、充血性心力衰竭、嚴重心肌受損、低血容量及休克等患者慎用。
(3) 對其他局麻藥過敏者,可能對本品也過敏。
(4) 本品嚴格掌握濃度和用藥總量,超量可引起驚厥及心跳驟停。
(5) 其體內代謝較普魯卡因慢,有蓄積作用,可引起中毒而發生驚厥。
(6) 用藥期間應注意檢查血壓、監測心電圖,并備有搶救設備;心電圖P-R間期延長或QRS波增寬,出現其他心律失常或原有心律失常加重者應立即停藥。
【孕婦及哺乳期婦女用藥】
本品透過胎盤,且與胎兒蛋白結合高于成人,故應慎用。
【兒童用藥】
新生兒用藥可引起中毒,早產兒較正常兒半衰期長(3.16小時;1.8小時),故應慎用。
【老年用藥】
老年人用藥應根據需要及耐受程度調整劑量,>70歲患者劑量應減半。
【藥物相互作用】
(1) 與西咪替丁以及與β受體阻滯劑(如普萘洛爾、美托洛爾等)合用,可使利多卡因經肝臟代謝受抑制,造成利多卡因血濃度增加,發生心臟和神經系統不良反應。應調整利多卡因劑量,并應心電圖監護及監測利多卡因血藥濃度。
(2) 巴比妥類藥物可促進利多卡因代謝,兩藥合用可引起心動過緩,竇性停搏。
(3) 與普魯卡因胺合用,可產生一過性譫妄及幻覺,但不影響本品血藥濃度。
(4) 異丙基腎上腺素因增加肝血流量,可使本品的總清除率升高;去甲腎上腺素因減少肝血流量,可使本品總清除率下降。
(5) 與下列藥品有配伍禁忌:苯巴比妥,硫噴妥鈉,硝普鈉,甘露醇,兩性霉素B,氨芐西林,美索比妥,磺胺嘧啶鈉。
【藥物過量】
超量可引起驚厥和心臟驟停。
【藥理毒理】
本品為酰胺類藥。血液吸收后或靜脈給藥,對中樞神經系統有明顯的興奮和抑制雙相作用,且可無先驅的興奮,血藥濃度較低時,出現鎮痛和思睡、痛閾提高;隨著劑量加大,作用或毒性增強,亞中毒血藥濃度時有抗驚厥作用;當血藥濃度超過5μg.ml-1可發生驚厥。本品在低劑量時,可促進心肌細胞內K+ 外流,降低心肌的自律性,而具有抗室性心律失常作用;在治療劑量時,對心肌細胞的電活動、房室傳導和心肌的收縮無明顯影響;血藥濃度進一步升高,可引起心臟傳導速度減慢,房室傳導阻滯,抑制心肌收縮力和使心排血量下降。
【藥代動力學】
本品注射后,組織分布快而廣,能透過血-腦屏障和胎盤。本品麻醉強度大、起效快、彌散力強,藥物從局部消除約需2小時,加腎上腺素可延長其作用時間。大部分先經肝微粒酶降解為仍有局麻作用的脫乙基中間代謝物單乙基甘氨酰胺二甲苯,毒性增高,再經酰胺酶水解,經尿排出,約用量的10%以原形排出,少量出現在膽汁中。
【貯 藏】密閉保存。
【包 裝】玻璃安瓿5支裝
【有效期】36個月
【執行標準】《中國藥典》2020年版二部、藥品補充申請批件(批件號2016B01855)
【批準文號】國藥準字H20023777
【藥品上市許可持有人】
名 稱:上海禾豐制藥有限公司
注冊地址:中國(上海)自由貿易試驗區金滬路805號
【生產企業】
企業名稱:上海禾豐制藥有限公司
地 址:中國(上海)自由貿易試驗區金滬路805號
郵政編碼:201206
電話號碼:021-50312222
傳真號碼:021-58544545